Calpeda
- Центробежные насосы
- Многоступенчатые насосы
- Циркуляционные насосы
- Скважинные насосы
- Скважинные 4-6-8 дюймовые насосы
- Двигатели 4-6-8 дюймовые
- Самовсасывающие насосы
- Переферийные и шестеренчатые насосы
- Вертикальные погружные насосы
- Дренажные погружные насосы
- Канализационные насосные станции
- Бустреные и противопожарные насосные стнции
- Аксессуары
Pedrollo
- Вихревые насосы
- Центробежные насосы
- Многоступенчатые насосы
- Многоступенчатые вертикальные насосы
- Самовсасывающие насосы
- Центробежные стандартизированные насосы
- Погружные многоступенчатые насосы
- Скважинные вихревые 4-X дюймовые насосы
- Скважинные моноблочные 4-X дюймовые насосы
- Скважинные 4-X дюймовые насосы
- Скважинные 6-И дюймовые насосы
- Двигатели 4-X и 6-И дюймовые
- Погружные насосы
- Насосные станции
- Аксессуары

Центробежные стандартизированные насосы Pedrollo F-INOX
ЭКСПЛУАТАЦИОННЫЕ ХАРАКТЕРИСТИКИ
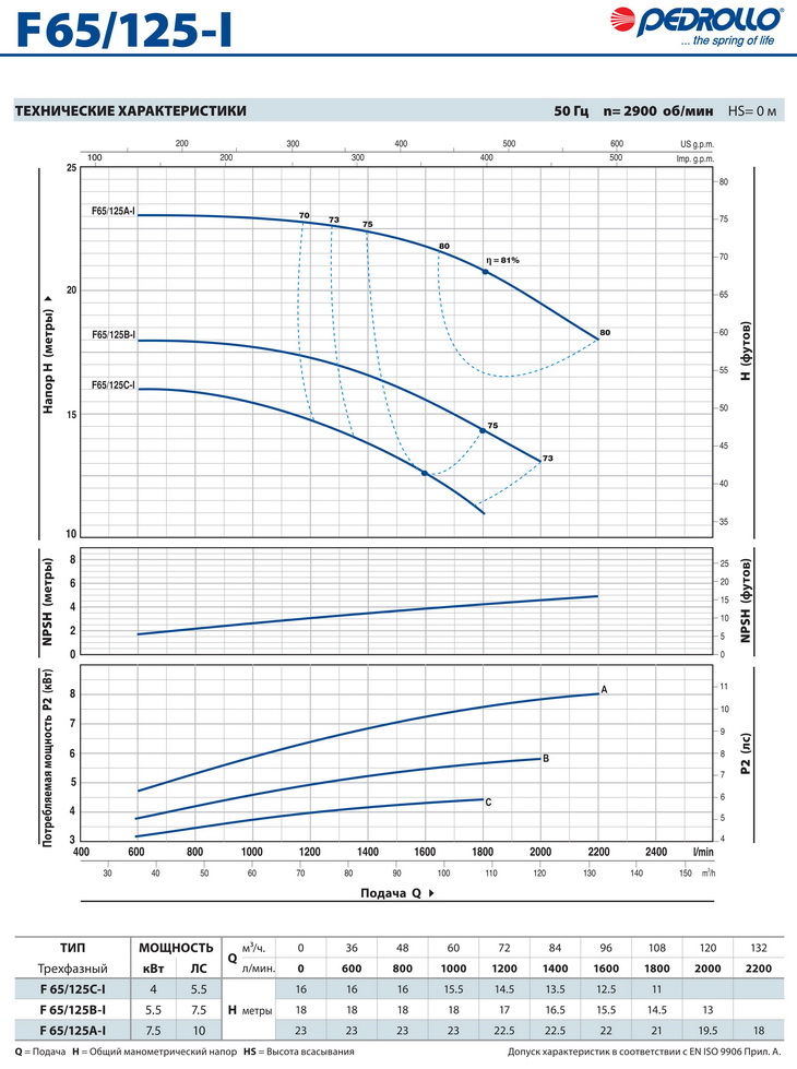
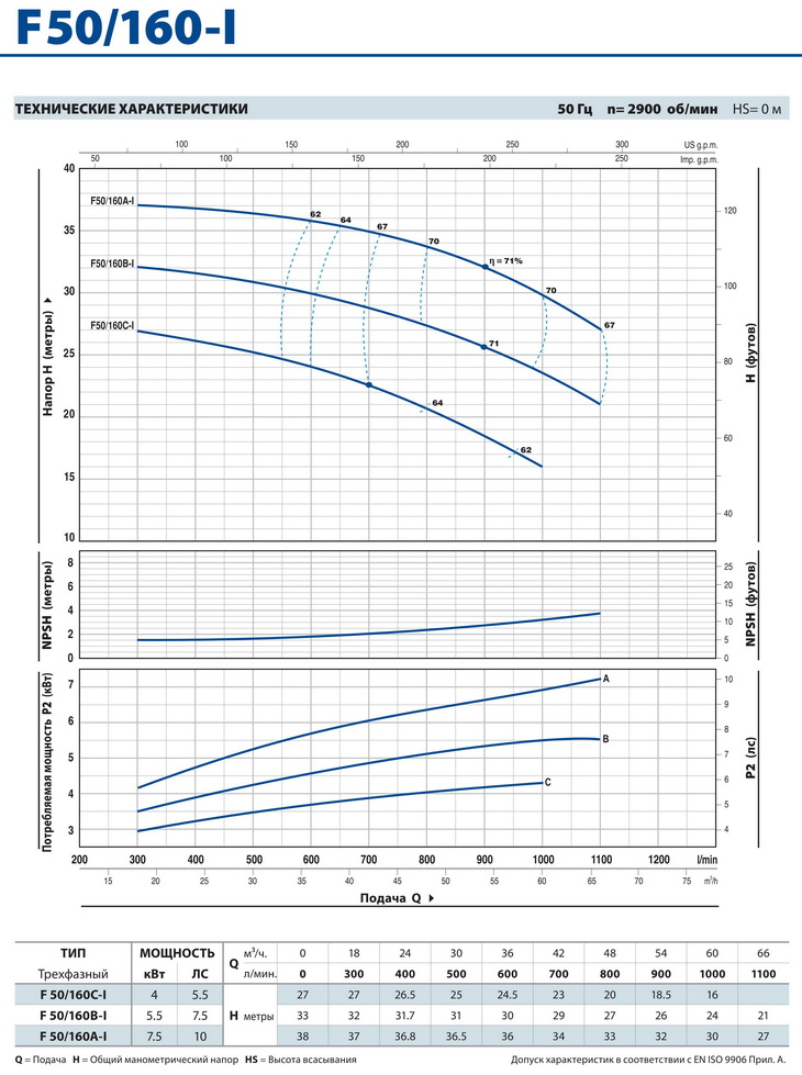
• Подача до 2200 л/мин (132 м³/ч)
• Напор до 38 м
ОГРАНИЧЕНИЯ ИСПОЛЬЗОВАНИЯ
• Манометрическая высота всасывания до 7 м
• Температура жидкости от -10 °C до +90 °C
• Температура окружающей среды от -10 °C до +40 °C
• Максимум в корпусе насоса бар 10 (PN10)
• Непрерывная работа S1
ИСПОЛНЕНИЕ ПО ЗАКАЗУ
• Специальное механическое уплотнение
• Другое напряжение питания или частота 60 Гц
• Для жидкостей с более высокими или более низкими температурами
• Для окружающей среды с более высокой или более низкой температурой
ИСПОЛЬЗОВАНИЕ И УСТАНОВКА
• Водоснабжение
• Подача воды под давлением
• Орошение
• Циркуляция воды в системах климатизации
• Моечные установки
• Противопожарные установки
• Промышленность
• Сельское хозяйство
Насосы данной серии рекомендуются для перекачки чистых агрессивных жидкостей, химически совместимых с материалами, из которых изготовлен насос.
Установка насоса должна производиться в закрытых помещениях или же в местах, защищенных от атмосферного воздействия.
ГАРАНТИЯ
2 года в соответствии с нашими общими условиями продажи